<b>Uso do índice do estado trófico para avaliar a qualidade das águas do estuário da Lagoa dos Patos (RS)</b>

Autores/as

  • Maria da Graça Zepka Baumgarten Universidade Federal do Rio Grande - FURG
  • Bárbara Góis da Paixão Universidade Federal do Rio Grande-FURG

DOI:

https://doi.org/10.5088/atl.2013.35.1.5

Palabras clave:

Estuário da Lagoa dos Patos, Índice de qualidade de águas, Eutrofização

Resumen

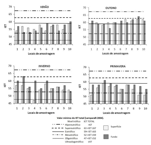
O uso de índices de qualidade de águas simplifica e integra em valores inteiros as concentrações de algumas variáveis, sendo uma ferramenta útil para programas de gerenciamento ambiental. Esse estudo aborda a otimização do cálculo do Índice do Estado Trófico (IET) para o Estuário da Lagoa dos Patos, selecionando entre as algumas variáveis indicadas na bibliografia para esse cálculo e não homogêneas entre autores, as mais representativas para esse estuário. Para tanto, na presente otimização foram recomendadas as variáveis clorofila, fósforo total, fosfato e nitrogênio total. A avaliação da eficiência dessa otimização foi feita calculando o IET com dados do estuário, considerando separadamente águas de canal (ano de 2006), com alta hidrodinâmica, e águas rasas (ano de 2002) diretamente receptoras de efluentes ricos em nutrientes eutrofizantes. Concluiu-se que a otimização foi satisfatória para esse estuário, se recomendando o uso desse índice como uma ótima ferramenta complementar de avaliação espaço-temporal da qualidade das águas. Os IET calculados evidenciaram a hipertrofia das águas rasas do Saco da Mangueira nos locais próximos a lançamentos de efluentes (IET de 67 a 85). Os canais se apresentaram predominantemente mesotróficos (IET<59), com acréscimos no IET (IET 60-64) no outono, quando a água marinha represou no estuário a água contaminada com os aportes antrópicos.

Descargas

Los datos de descargas todavía no están disponibles.

Biografía del autor/a

Maria da Graça Zepka Baumgarten, Universidade Federal do Rio Grande - FURG

Professora Titular DE IO FURG- Laboratório de Hidroquímica Oceanóloga - Mestre em Oceanografia Biológica

Bárbara Góis da Paixão, Universidade Federal do Rio Grande-FURG

Graduanda em Oceanologia Universidade Federal do Rio Grande-FURG Bolsista do Programa de Recursos Humanos nº 27 da Agência Nacional do Petróleo, Gás Natural e Biocombustíveis-ANP Laboratório de Oceanografia Geológica-LOG/FURG (53) 8104 6298/ (53) 8423 1132 Skype: barbara70306

Publicado

2014-11-28

Cómo citar

Baumgarten, M. da G. Z., & Paixão, B. G. da. (2014). <b>Uso do índice do estado trófico para avaliar a qualidade das águas do estuário da Lagoa dos Patos (RS)</b>. (DESCONTINUADA) Atlântica, 35(1), 5–22. https://doi.org/10.5088/atl.2013.35.1.5

Número

Sección

Artigos